聚氨酯联盟网 - 东莞市佳高信息科技有限公司

 找回密码
 免费注册
http://www.51qiguang.com/
查看: 6121|回复: 0

知识点 | 聚氨酯固化剂种类及原理

[复制链接]
海绵宝宝 发表于 2023-11-15 09:54:14 | 显示全部楼层 |阅读模式 来自: 中国广东东莞

TDI-TMP固化剂

双组份聚氨酯涂料的一种常用固化剂为TDI-TMP(甲苯二异氰酸酯-三羟甲基丙烷)加成物,该漆膜由于优异的性能被广泛用于双组分聚氨酯涂料及胶黏剂中。

反应原理:
图片1.png
TDI-TMP加成反应是典型的NCO/OH反应,具有以下特点:
1. 反应需要加热且不可逆,生成产物稳定且不生成小分子产物;
2. TDI分子上的两个NCO基团由于位置的不同存在一定活性差异,位于TMP分子上的三个伯羟基没有活性差异;
3. 反应为高支化度、多官能反应;
4. 大多数以溶液反应形式进行;
5. 每个分子上具有3个NCO基团的多异氰酸酯的品质对其与油漆树脂的混溶性、漆膜的光泽以及漆膜强度等性能有较大的影响,因此生产过程对产品质量要求较高。在TDI-TMP加成物的生产中,配方设计、工艺条件均会对产物的质量产生较大影响,工艺条件轻微波动或配方稍有改变便会造成废次品。
推荐催化剂:TMG129、TMG218



TDI三聚体固化剂

在催化剂作用下,三分子TDI单体进行亲核反应,异氰酸酯中氮和氧的电子云密度大,电负性强,而碳的电子云密度小,显正电性,所以碳原子便成为亲电中心,容易受到亲核试剂的进攻。在催化剂作用下,异氰酸酯基相互加成,发生聚合反应,反应通常使用路易斯碱作为催化剂。

反应原理:
图片2.png

1、TDI三聚体环上O=C-N-R结构单元具备较好的热稳定性,且异氰脲酸酯环上没有不稳定的氢原子,因此含异氰脲酸酯环的制品的热稳定性好,TDI三聚体成为涂料、泡沫、塑料凳行业中应用较广泛的一种异氰脲酸酯环制品。
2、TDI三聚反应的关键就是需要选择出适宜的催化剂。TDI三聚反应的催化剂种类很多,通常使用的催化剂种类有碱性金属羧酸盐(草酸钠)、含磷化合物(三丁基磷)、叔胺(DMP-30)、有机金属化合物等。




HDI三聚体固化剂

HDI三聚体属于脂肪族的固化剂,由于其不含苯环这类易氧化的基团,因此具有良好的耐黄变性能。同时HDI三聚体的异氰脲酸环的结构稳定,在高温下不易分解,因此它具有热稳定性好、耐磨性好、耐腐蚀性好等优点,常作为聚氨酯固化剂被广泛用于家具、汽车工业、航空工业和体育器材能领域中。

反应原理:
图片3.png
1. 制备HDI三聚体的难点是找到能使HDI单体发生三聚的高效催化剂和减小聚合产物相对分子质量分布宽度的反应控制条件。
2. 根据文献报道,常见的催化剂有季铵盐、碱金属羧酸盐、季铵碱、有机膦催化剂、有机金属氧化物。



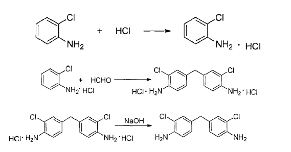
MOCA

3,3’-二氯-4,4’-二氨基二苯甲烷俗称为MOCA,为芳香族二胺的一种,可以作为聚氨酯(CPU)及环氧树脂等的交联剂与固化剂,广泛应用于汽车工业、机械制造业、体育设施等领域。
工业上MOCA合成是以邻氯苯胺为原料,经过盐酸酸化生成邻氯苯胺盐酸盐,进一步滴加甲醛溶液进行缩合,缩合完成后加入氢氧化钠溶液中和,经过洗涤、重结晶、干燥,制得MOCA固体。

反应原理:
图片4.png
MOCA生长工艺流程图
图片5.png
推荐催化剂:TMG 156


第四十三届聚氨酯软泡实战技术培训班,报名:13480071524
您需要登录后才可以回帖 登录 | 免费注册

本版积分规则

!jz_sgzt! !jz_xgzt! 快速回复 !jz_fhlb! !jz_lxwm!
  •  
  • 联系我们
  • 电话:0769 - 22329080
  • 微信:pu13790195533(聚氨酯技术联盟-黄小玲)
  • 微信:pu999pu(聚氨酯技术联盟-小熊)
  • 微信:pu51www(51找聚网-小李)
  •  

QQ||小黑屋|手机版|聚氨酯联盟网 ( 粤ICP备12003825号-2 )

GMT+8, 2026-4-17 17:19 , Processed in 0.105792 second(s), 27 queries .

Powered by Discuz! X3.4 Licensed

© 2001-2013 Comsenz Inc. 东莞市佳高信息科技有限公司

快速回复 返回顶部 返回列表